Item |
EVQ-30 | EVQ-100(Series2) | EVQ-150(Series3) | EVQ-200(Series5) | EVQ-600 | |
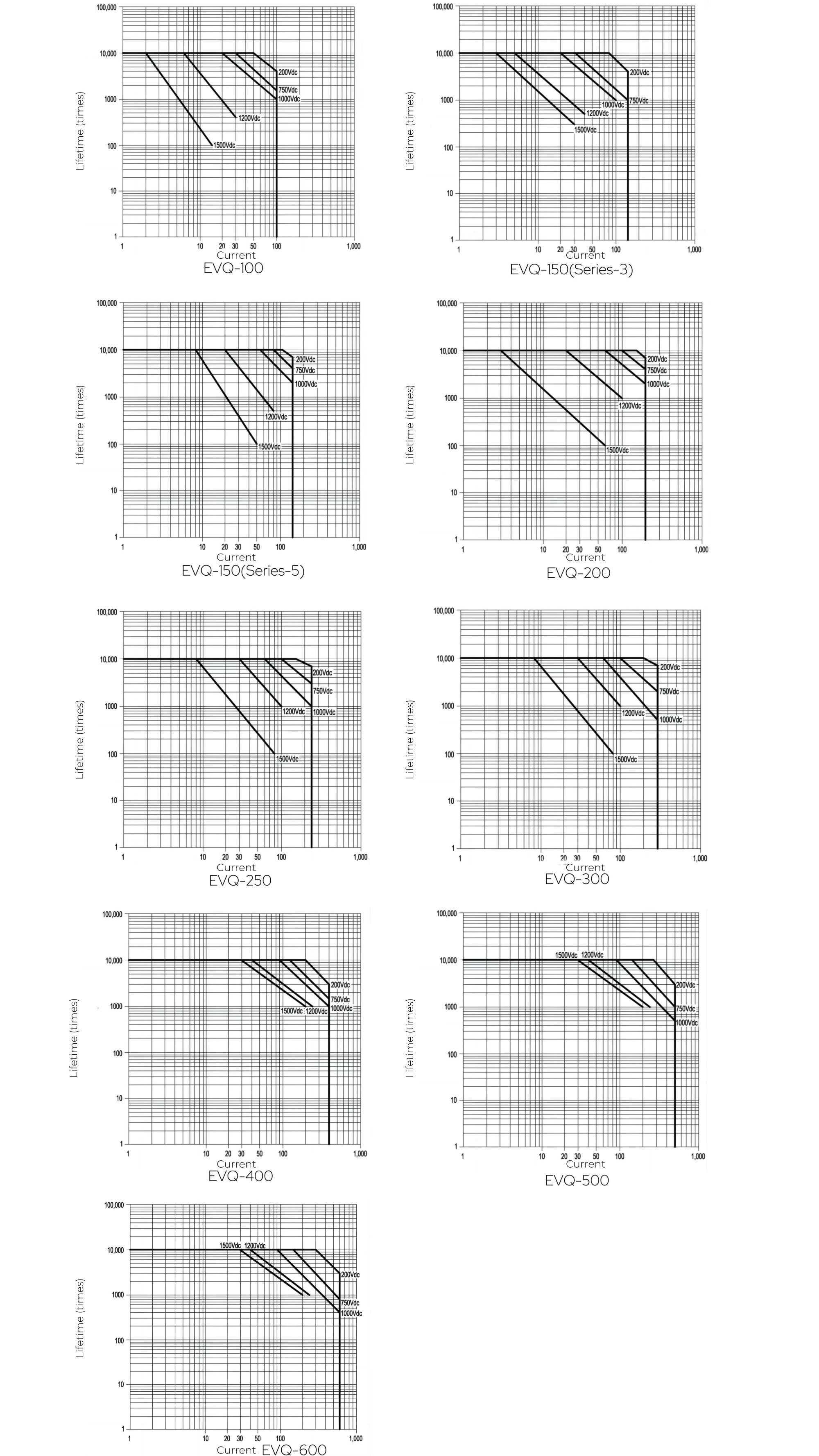
| Rated current | 30A | 100A | 150A | 200A | 600A | |
| Rated voltage | DV750、DV1000V、DC1200V、DC1500V | |||||
| Insulation voltage | ≥100MΩ DC1000V | |||||
| Number of poles | Single pole | |||||
| Type of circuit | DC | |||||
| Mechanical life | 200,000 times | |||||
| Switching Rating ,ON : OFF=1s:9s) | DC750V | 30A 1200times | 100A 1000times | 150A 1000times | 200A 1000times | 600A 400times |
| DC1000V | 20A 400times | 50A 700times | 75A 750times | 150A 600times | 400A 700times |
|
| DC1200V | 10A 120times | 25A 450times | 40A 500times | 100A 300times | 300A 700times | |
| DC1500V | 6A 100times | 15A 120times | 30A 350times | 50A 100times | 200A 900times | |
| Maximum breaking current | DC320V 300A /once | DC320V 1000A /once | DC320V 1500A /once |
DC320V 2000A /once |
DC320V 2500A /once |
|
| Shot-circuit withstand current | 90A 30s | 140A 600s | 200A 600s |
300A 900s |
700A 600s |
|
| Insulation resistance | 100MΩ DC1000V |
|||||
| Withstand voltage | AC 3500 Vrms/10mA 60s |
|||||
| Rated control voltage Uc | Rated control voltage:DC24V Holding Voltage:Us85%Min Drop-out voltage:Us10%Min |
|||||
| Contact Arrangement | (SPST-NO-DM) |
|||||
| Media type when cutting-of | Inactive gas |
|||||
| Auxiliary contact type | Without | |||||
| Workplace Temperature | (-40℃~+85℃) | |||||
| Dielectric Strength | Between open contact | AC 3500 Vrms/10mA/1min | ||||
| Between Contacts and Co | ||||||
| Battery Cell Spec | 3.2V105Ah |
| Assemble Style | 4S1P |
| Energy | 1.344kWh |
| Dimension | 495*250*65mm |
| Weight | 13Kg |

| Details of the picture |


















